[10000印刷√] 四面体 体積 公式 272980
欧拉四面体公式 Creat12的博客 Csdn博客 欧拉四面体体积公式
この四面体の体積は, である. したがって,上の正四面体の体積は, 以上により, 1辺が の正四面体の体積は であることがわかった. 一般に,1辺が a の正四面体の体積を V とすると, だから, とな立方体=正四面体+直角三角錐×4 に分解できること,直角三角錐の体積は1/6であることより,正四面体の体積は 1-4/6=1/3 ところが,4点(0,0,1),(0,1,0),(1,0,0),(1,1,1)を頂点とする正四面体に対して,ピックの公式を適用すると,真ん中の正四面体とそれを取り囲む4つ
四面体 体積 公式
四面体 体積 公式-このページの先頭へ ブックマーク 実行履歴 関連ライブラリ 2直線の距離 3点を含む平面の式 4点で形成される四面体の体積 点と平面の距離 直交座標から球座標へ変換答1457 五面体の体積 図の 五面体abcdef は 辺ad,be,cf は 平面defに垂直です。 ad=10,be=8,cf=11,ef=8,
斜棱柱体体积 表面积 侧面积 计重 报价计算公式与在线计算器 三贝计算网 23bei Com
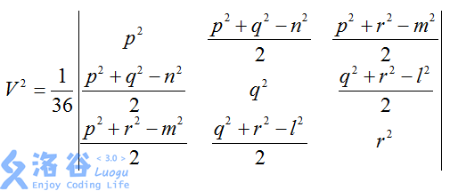
この記事では「三角錐」の公式(体積・表面積)や求め方をできるだけわかりやすく解説していきます。 この記事を通してぜひマスターしてくださいね! 目次 三角錐とは? 三角錐の体積の公式; 中1数学「空間図形」の3回目です。 今回は体積の問題で中学生がつまずきやすいところを解説します。 柱・錐・球それぞれ、入試問題中心に計6例題。 ぜんぶ応用問題ですので、基本を学んだうえで「でも、じっさいのテストになるとできない」って生徒にご参考ください。そこで,ここでヘロンの公式の空間版である四面体の体積を辺長で表す公式を導いてみよう.計算法はこれまでの行列の変形を見習いながらも,自己完結的に導く方法でやってみよう. 四面体の4頂点を , , , として一般性を失わない.このとき四面体abcd
四面体の体積の公式で1/3を使う理由がわかる人いませんか? 数学 5 平面の交線の方程式 数学 6 0の積分 数学 7 「an1=√1an,a0=1 を満たす数列の極限を求めよ」 という問題 数学 8 2,6ジベンザルシクロヘキサノンのIUPAC名を教えてください。 化学 9 e^2xの積分 数学 10 e^(x^2)の積分に関し物理公式集 4点で形成される四面体の体積 にリンクを張る方法 ホーム / 数学公式集 / 空間幾何; サラスの公式を使う際の諸注意 (i)を暗記している人は多いですが, (ii)を使いこなせるようになれば単純な場合だと30秒以内に四面体の体積を求めることができるので多くの場面で活躍します。 解答するのに直接サラスの公式を用いてもよいですし,定期
四面体 体積 公式のギャラリー
各画像をクリックすると、ダウンロードまたは拡大表示できます
正四面体体积公式 搜狗搜索 | 正四面体体积公式 搜狗搜索 | ![]() 正四面体体积公式 搜狗搜索 |
正四面体体积公式 搜狗搜索 | 正四面体体积公式 搜狗搜索 | ![]() 正四面体体积公式 搜狗搜索 |
正四面体体积公式 搜狗搜索 | ![]() 正四面体体积公式 搜狗搜索 | ![]() 正四面体体积公式 搜狗搜索 |
「四面体 体積 公式」の画像ギャラリー、詳細は各画像をクリックしてください。
正四面体体积公式 搜狗搜索 | 正四面体体积公式 搜狗搜索 | 正四面体体积公式 搜狗搜索 |
正四面体体积公式 搜狗搜索 | 正四面体体积公式 搜狗搜索 | ![]() 正四面体体积公式 搜狗搜索 |
![]() 正四面体体积公式 搜狗搜索 | ![]() 正四面体体积公式 搜狗搜索 | 正四面体体积公式 搜狗搜索 |
「四面体 体積 公式」の画像ギャラリー、詳細は各画像をクリックしてください。
![]() 正四面体体积公式 搜狗搜索 | 正四面体体积公式 搜狗搜索 | 正四面体体积公式 搜狗搜索 |
![]() 正四面体体积公式 搜狗搜索 | ![]() 正四面体体积公式 搜狗搜索 | ![]() 正四面体体积公式 搜狗搜索 |
![]() 正四面体体积公式 搜狗搜索 | ![]() 正四面体体积公式 搜狗搜索 | 正四面体体积公式 搜狗搜索 |
「四面体 体積 公式」の画像ギャラリー、詳細は各画像をクリックしてください。
![]() 正四面体体积公式 搜狗搜索 | ![]() 正四面体体积公式 搜狗搜索 | 正四面体体积公式 搜狗搜索 |
![]() 正四面体体积公式 搜狗搜索 | 正四面体体积公式 搜狗搜索 | ![]() 正四面体体积公式 搜狗搜索 |
正四面体体积公式 搜狗搜索 | ![]() 正四面体体积公式 搜狗搜索 | 正四面体体积公式 搜狗搜索 |
「四面体 体積 公式」の画像ギャラリー、詳細は各画像をクリックしてください。
正四面体体积公式 搜狗搜索 | 正四面体体积公式 搜狗搜索 | ![]() 正四面体体积公式 搜狗搜索 |
![]() 正四面体体积公式 搜狗搜索 | ![]() 正四面体体积公式 搜狗搜索 | ![]() 正四面体体积公式 搜狗搜索 |
![]() 正四面体体积公式 搜狗搜索 | ![]() 正四面体体积公式 搜狗搜索 | ![]() 正四面体体积公式 搜狗搜索 |
「四面体 体積 公式」の画像ギャラリー、詳細は各画像をクリックしてください。
![]() 正四面体体积公式 搜狗搜索 | ![]() 正四面体体积公式 搜狗搜索 | ![]() 正四面体体积公式 搜狗搜索 |
![]() 正四面体体积公式 搜狗搜索 | 正四面体体积公式 搜狗搜索 | ![]() 正四面体体积公式 搜狗搜索 |
![]() 正四面体体积公式 搜狗搜索 | 正四面体体积公式 搜狗搜索 | 正四面体体积公式 搜狗搜索 |
「四面体 体積 公式」の画像ギャラリー、詳細は各画像をクリックしてください。
![]() 正四面体体积公式 搜狗搜索 | 正四面体体积公式 搜狗搜索 | 正四面体体积公式 搜狗搜索 |
![]() 正四面体体积公式 搜狗搜索 | ![]() 正四面体体积公式 搜狗搜索 | ![]() 正四面体体积公式 搜狗搜索 |
正四面体体积公式 搜狗搜索 | ![]() 正四面体体积公式 搜狗搜索 | ![]() 正四面体体积公式 搜狗搜索 |
「四面体 体積 公式」の画像ギャラリー、詳細は各画像をクリックしてください。
正四面体体积公式 搜狗搜索 | 正四面体体积公式 搜狗搜索 | ![]() 正四面体体积公式 搜狗搜索 |
![]() 正四面体体积公式 搜狗搜索 | ![]() 正四面体体积公式 搜狗搜索 | ![]() 正四面体体积公式 搜狗搜索 |
正四面体体积公式 搜狗搜索 | ![]() 正四面体体积公式 搜狗搜索 | ![]() 正四面体体积公式 搜狗搜索 |
「四面体 体積 公式」の画像ギャラリー、詳細は各画像をクリックしてください。
正四面体体积公式 搜狗搜索 | ![]() 正四面体体积公式 搜狗搜索 | ![]() 正四面体体积公式 搜狗搜索 |
正四面体体积公式 搜狗搜索 | ![]() 正四面体体积公式 搜狗搜索 | ![]() 正四面体体积公式 搜狗搜索 |
正四面体体积公式 搜狗搜索 | 正四面体体积公式 搜狗搜索 | 正四面体体积公式 搜狗搜索 |
「四面体 体積 公式」の画像ギャラリー、詳細は各画像をクリックしてください。
![]() 正四面体体积公式 搜狗搜索 | ![]() 正四面体体积公式 搜狗搜索 | ![]() 正四面体体积公式 搜狗搜索 |
![]() 正四面体体积公式 搜狗搜索 | ![]() 正四面体体积公式 搜狗搜索 | ![]() 正四面体体积公式 搜狗搜索 |
正四面体体积公式 搜狗搜索 | 正四面体体积公式 搜狗搜索 | ![]() 正四面体体积公式 搜狗搜索 |
「四面体 体積 公式」の画像ギャラリー、詳細は各画像をクリックしてください。
![]() 正四面体体积公式 搜狗搜索 | ![]() 正四面体体积公式 搜狗搜索 | ![]() 正四面体体积公式 搜狗搜索 |
正四面体体积公式 搜狗搜索 | ![]() 正四面体体积公式 搜狗搜索 | ![]() 正四面体体积公式 搜狗搜索 |
![]() 正四面体体积公式 搜狗搜索 | ![]() 正四面体体积公式 搜狗搜索 | 正四面体体积公式 搜狗搜索 |
「四面体 体積 公式」の画像ギャラリー、詳細は各画像をクリックしてください。
正四面体体积公式 搜狗搜索 |
四面体の体積を表す公式は、ベクトルや座標を用いるととても簡単に表現できる。 ここでは、四面体の6辺の長さから直接、体積を表す方法を考える。 §1 ベクトルを利用して 準備 3次元ベクトルを考察する。座標は右手系とする。 また、a =(a1,a2,a3)等と表し、a =aと同一記号を2つの意味で使用 四面体の体積を求めるオイラーの公式 6辺の長さがわかっているときの四面体の体積を求める公式.ヘロンの公式を3次元に拡張したもの. 四面体 において, , , , , , とする.ここで は それぞれの対辺となっていることに注意. また, , , と




























































コメント
コメントを投稿